400-821-0778
产品
  • 产品
  • 品牌
  • 解决方案
  • 新闻
首页 - 解决方案
OWRK方法-Owens,Wendt,Rabel和Kaelble模型

2023-06-05

返回列表

作者:Susanna Laurén,Biolin Scientific

表面自由能不能直接测量,因此提出了几种利用接触角测量的模型。OWRK是最常用的表面自由能理论之一。它将界面相互作用分为两部分:极性和色散部分。因此,使用此模型计算表面自由能需要测量与两种已知液体的接触角。


· 杨式方程是所有表面自由能的理论基础

图片

杨式方程是所有表面自由能的理论基础,它描述了空气、液体和固体相遇的三相接触点处的力的平衡。杨式方程如下:

图片

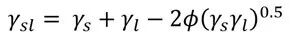
γsv是固体表面自由能,γsl是固体和液体之间的界面张力,γlv是液体的表面张力,θy是接触角。当确定固体表面自由能时,需要知道或测量方程的右侧。表面张力和接触角很容易测量,但液体和固体之间的界面张力测试很难。


如果γsl,这个假设后来证明是真的。Good和Girifalco将方程转换为如下形式:

图片

假定φ=1,这也是WORK理论的基础。


· Fowkes将相互作用分为不同的部分

将SFE分成单个组分的想法包括假设γsl由各种界面相互作用决定,这些相互作用取决于被测基材和测量液体的性质。Fowkes假设固体的表面自由能(和液体的表面张力)是与特定相互作用相关的独立组分的总和:

图片

其中γsvd,γsvp,γsvh,γsvi和 γsvab 分别是色散、极性、氢、诱导、酸碱组分。γsvo是指所有剩余的相互作用。Fowkes主要研究含有仅出现相互作用的物质(固体或液体)的系统。根据Fowkes的说法,色散相互作用与伦敦力相互作用有关,由于电子偶极子波动引起。


· OWRK法用于计算表面自由能

Owen和Wendt延续了Fowkes的观点,指出方程右侧的所有分量,除了γsvd都可以被认为是极性的(γsvp)。将多组分方法与Good和Girifalco对界面张力的定义相结合,基于WORK理论的界面张力可以写成:

图片

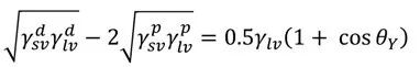
如果与杨氏方程相结合使用,称为OWRK的方程可以写成:

图片

因为在方程中有两个未知数,γsvd和γsvp,所以需要两个具有已知色散和极性成分的液体。


· 液体的选择

一种液体需要选择主要为极性部分的液体,另一种液体选择主要为色散部分的液体。这是因为相互作用发生在相似的组分之间。如果我们只有色散部分,可能的极性相互作用将被忽视。


水、甘油和甲酰胺可以用作极性液体,二碘甲烷和α溴萘可用作色散部分。水和二碘甲烷是最常用组合。水由于极性大和无毒的特性,广泛使用。色散部分选择比较复杂,大多数可用作色散部分的液体表面张力非常低,这导致对于大多数表面来说接触角为零。因此,需要更多特殊的液体。OWRK是SFE计算的最常用方法之一。


点击下载

请输入以下信息
手机号
* 发送验证码
验证码
*
姓名
*
邮箱
*
公司
*
感兴趣的产品
*

Delivering Growth – in Asia and Beyond.

  • 首页
  • 在线留言
  • 联系电话
  • 返回顶部
  • Think Asia. Think DKSH.